2020年10月份,各地坚决贯彻落实党中央、国务院部署,坚持房子是用来住的、不是用来炒的定位,因城施策、一城一策,促进房地产市场平稳健康发展,70个大中城市房地产市场价格涨幅保持平稳回落态势。
一、各线城市新建商品住宅和二手住宅销售价格环比涨幅总体回落
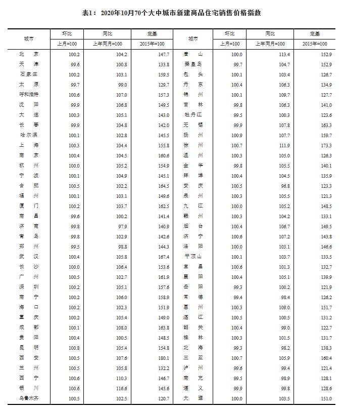
初步测算,10月份,4个一线城市新建商品住宅销售价格环比上涨0.3%,涨幅比上月回落0.1个百分点。其中,北京、上海、广州和深圳分别上涨0.2%、0.3%、0.5%和0.2%。二手住宅销售价格环比上涨0.5%,涨幅比上月回落0.4个百分点。其中,北京、上海、广州和深圳分别上涨0.4%、0.5%、0.6%和0.9%。31个二线城市新建商品住宅销售价格环比上涨0.1%,涨幅比上月回落0.2个百分点;二手住宅销售价格环比上涨0.2%,涨幅与上月相同。35个三线城市新建商品住宅和二手住宅销售价格环比均上涨0.2%,涨幅比上月分别回落0.3和0.4个百分点。
二、各线城市新建商品住宅和二手住宅销售价格同比涨幅基本稳定
初步测算,10月份,一线城市新建商品住宅和二手住宅销售价格同比分别上涨4.1%和8.0%,涨幅比上月分别扩大0.2和0.6个百分点。二线城市新建商品住宅销售价格同比上涨4.4%,涨幅比上月回落0.4个百分点;二手住宅销售价格同比上涨2.1%,涨幅比上月微扩0.1个百分点。三线城市新建商品住宅和二手住宅销售价格同比分别上涨4.0%和1.5%,涨幅比上月分别回落0.4和0.2个百分点,均已连续19个月相同或回落。



剑网行动举报电话:12318(市文化执法总队)、021-64334547(市版权局)
Copyright © 2016 Kankanews.com Inc. All Rights Reserved. 看东方(上海)传媒有限公司 版权所有

全部评论
暂无评论,快来发表你的评论吧